back propagation
神经网络的训练本质上是一个参数的最优化问题,Back propagation(BP)算法在这个过程中起了至关重要的作用。它极大地降低了代价函数对参数的导数计算量。BP如果简单来说的话,其实可以简单:对求导的链式法则的有效利用。然而,体会其中的妙处还得仔细推算一遍。
forward propagation
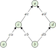
我们先暂时放下BP,借用Colah君的一个例子,从Forward Propagation开始。假设变量有如下的计算关系,我们要计算e对所有其它变量的导数。
下面的计算图表示了上述运过程,每一个节点代表一个变量,节点之间的边代表了变量之间的依赖和影响关系,边上的weight由偏导数定义。

导数可以理解为变量变化,导致的变化有多大,导数表示了变化速率。这样以来,上图中可以通过累加所有从到的path得到,每条path的总weight由各段路径的weights乘积表示。
至此,我们的结论是:
任意关于的偏导数,可以通过累加所有影响的路径得到。
这就是forward propagation以及计算图表示清晰地展示给我们的,实际上也是对chain rule的一种直观理解。
back propagation
在forward propagation中,为了计算关于的导数,需要我们分别以为起点,最终走到,计算图中的有些路径被重复走了很多次。避免这个问题的方法是从上往下计算,即从bottom-up模式转换为top-down。这样遍历计算图一次,就可以计算出所有关于的导数。
这种计算方法就是back propagation:仿佛变化量是从被影响变量反向传播到影响他们的变量上。所以,bp本质是一个降低整体求导复杂度的优化算法,之所以谈神经网络必谈bp,是因为nn的参数非常多,如果通过简单的forward方式计算梯度,会导致巨大的计算量。bp因此成为了nn优化的“标配”。